DOTA-MeTz,1610950-41-8
產品名稱:DOTA-MeTz,1610950-41-8
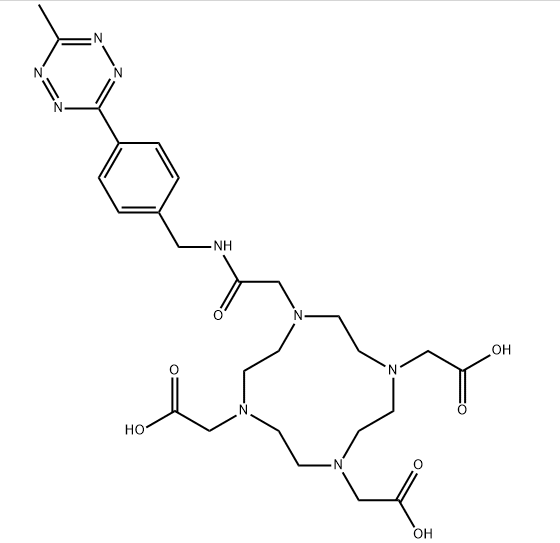
產品描述:
產品名稱 | DOTA-MeTz,1610950-41-8 |
---|---|
英文名稱 | DOTA-MeTz |
分子量 | 587.64 |
CAS | 1610950-41-8 |
分子式 | C26H37N9O7 |
存儲條件 | -20°C |
保存時間 | 一年 |
顏色 | Red Solid |

關于我們:
西安齊岳生物供應大環化合物、離子型造影劑、T1磁共振分子影像劑、體內顯像劑、放射性藥物配體、雙功能螯合劑DOTA及其衍生物;接受定制,提供核磁,HPLC,LCMS,GC圖譜 可放心使用。
相關產品:
Butyne-DOTA 炔基
Azido-mono-amide-DOTA CAS:1227407-76-2
4-Aminobutyl-DOTA CAS:753421-63-5
p-NH2-Bn-DTPA CAS:102650-29-3
p-NH2-Bn-DTPA-penta (t-Bu ester) CAS:205956-41-0
p-SCN-Bn-DTPA CAS:102650-30-6
p-NH2-Bn-CHX-A”-DTPA CAS:1105741-38-5
p-SCN-Bn-CHX-A”-DTPA CAS:157380-45-5
DTPA-tetra (t-Bu ester) CAS:174267-71-1
NO2A-Azide CAS:2125661-92-7
NODAGA-tris(t-Bu ester) CAS:438553-50-3
聯系我們:
郵箱:2519696869@qq.com
QQ: 2519696869
電話:18066853083
微信:18066853083

公司介紹:
西安齊岳生物科技有限公司是集化學科研和定制與一體的高科技化學公司。業務范圍包括化學試劑和產品的研發、生產、銷售等。涉及產品為通用試劑的分銷、非通用試劑的定制與研發,涵蓋生物科技、化學品、中間體和化工材料等領域。
主營產品:COF、MOF單體系列:三蝶烯衍生物、金剛烷衍生物、四苯甲烷衍生物、peg、上轉換、石墨烯、光電材料、點擊化學、凝集素、載玻片、蛋白質交聯劑、脂質體、蛋白、多肽、氨基酸、糖化學等。