點擊化學DBCO、TCO、N3功能化修飾FITC異硫氰基熒光素
產品名稱:點擊化學DBCO、TCO、N3功能化修飾FITC異硫氰基熒光素
產品描述:
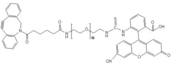
DBCO聚乙二醇熒光素,DBCO-PEG-FITC基本信息:
中文名稱:二苯并環辛烯聚乙二醇熒光素
英文名稱:DBCO-PEG-FITC
CAS:-
分子量:400、600、1K、2K、3.4K、4K、5K、10K
純度:95%以上
結構式:
物理性質:
狀態:淡黃色到黃色固體,或者半固體,取決于分子量。
溶解性:溶于DMSO,DMF等溶劑。
保持條件:-20℃長期保存,避光,干燥。
注意事項:取用一定要干燥,避免頻繁的溶解和凍干。
反應性:DBCO于含有N3基團的反應。
應用簡介:
DBCO(二苯并環辛炔)是一種環炔,可在水溶液中通過應變促進的1,3-偶極環加成與疊氮化合物反應,這是一種生物正交反應,也稱為無銅點擊反應。該反應具有選擇性和生物相容性,使得互補試劑可以與功能生物系統形成共價鍵。無銅點擊反應是無催化劑生物結合的有力工具。DBCO試劑在水性緩沖液中具有快速動力學和穩定性,可用于標記疊氮化物修飾的生物分子,具有較高的特異性和反應性。
聯系我們:
郵箱:2519696869@qq.com
QQ: 2519696869
電話:18066853083
微信:18066853083

公司介紹:
西安齊岳生物科技有限公司是集化學科研和定制與一體的高科技化學公司。業務范圍包括化學試劑和產品的研發、生產、銷售等。涉及產品為通用試劑的分銷、非通用試劑的定制與研發,涵蓋生物科技、化學品、中間體和化工材料等領域。
主營產品:COF、MOF單體系列:三蝶烯衍生物、金剛烷衍生物、四苯甲烷衍生物、peg、上轉換、石墨烯、光電材料、點擊化學、凝集素、載玻片、蛋白質交聯劑、脂質體、蛋白、多肽、氨基酸、糖化學等。