葡聚糖-羧基|Dextran-COOH|羧基化葡聚糖的多種別稱叫法
產品名稱:葡聚糖-羧基|Dextran-COOH|羧基化葡聚糖的多種別稱叫法
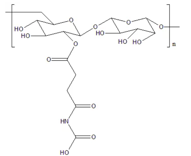
產品描述:
葡聚糖-羧基|Dextran-COOH|羧基化葡聚糖的多種別稱叫法
中文名稱:葡聚糖-羧基
英文名稱:Dextran-COOH
別稱:羧基化葡聚糖,葡聚糖-COOH,carboxyl-葡聚糖
性狀:基于不同的分子量,呈白色/類白色固體粉末,或絮狀固體。
穩定性:保持密封干燥,冷藏保存,避免反復凍融。
溶劑:DMSO等常規有機溶劑。
結構式
描述:羧基取代度為20%:例如采用20000分子量的葡聚糖,對其進行羧基化修飾,取代度為20%,即1 mol本品含117個葡萄糖單元,其中有23個葡萄糖單元被羧基化。
用途:科研
狀態:固體/粉末/溶液
產地:西安
儲存時間:1年
保存:冷藏
儲藏條件:-20℃
溫馨提醒:僅供科研,不能用于人體實驗
以上資料來自小編axc,2022.09.19
溫馨提示:以上文中提到的產品僅用于科研,不能用于人體
聯系我們:
郵箱:2519696869@qq.com
QQ: 2519696869
電話:18066853083
微信:18066853083

公司介紹:
西安齊岳生物科技有限公司是集化學科研和定制與一體的高科技化學公司。業務范圍包括化學試劑和產品的研發、生產、銷售等。涉及產品為通用試劑的分銷、非通用試劑的定制與研發,涵蓋生物科技、化學品、中間體和化工材料等領域。
主營產品:COF、MOF單體系列:三蝶烯衍生物、金剛烷衍生物、四苯甲烷衍生物、peg、上轉換、石墨烯、光電材料、點擊化學、凝集素、載玻片、蛋白質交聯劑、脂質體、蛋白、多肽、氨基酸、糖化學等。