葡聚糖-炔基|Dextran-Alkyne|炔基修飾葡聚糖的參數信息
產品名稱:葡聚糖-炔基|Dextran-Alkyne|炔基修飾葡聚糖的參數信息
產品描述:
英文名稱:Dextran-Alkyne,Dextran-ALK
中文名:葡聚糖-炔基
別稱:Alkyne-葡聚糖,炔基修飾的葡聚糖
分子量:Dextran-Alkyne,Dextran-ALKMW3000
Dextran-Alkyne,Dextran-ALKMW5000
Dextran-Alkyne,Dextran-ALKMW10000
Dextran-Alkyne,Dextran-ALKMW40000
Dextran-Alkyne,Dextran-ALKMW70000
Dextran-Alkyne,Dextran-ALKMW100000
Dextran-Alkyne,Dextran-ALKMW500k
質量:90%+
溶解性:SolubleinDMSOorDMF.
保存:-20℃2年
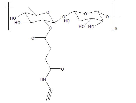
結構式:
用途:科研
狀態:固體/粉末/溶液
產地:西安
儲存時間:1年
保存:冷藏
儲藏條件:-20℃
溫馨提醒:僅供科研,不能用于人體實驗
以上資料來自小編axc,2022.09.19
溫馨提示:以上文中提到的產品僅用于科研,不能用于人體
聯系我們:
郵箱:2519696869@qq.com
QQ: 2519696869
電話:18066853083
微信:18066853083

公司介紹:
西安齊岳生物科技有限公司是集化學科研和定制與一體的高科技化學公司。業務范圍包括化學試劑和產品的研發、生產、銷售等。涉及產品為通用試劑的分銷、非通用試劑的定制與研發,涵蓋生物科技、化學品、中間體和化工材料等領域。
主營產品:COF、MOF單體系列:三蝶烯衍生物、金剛烷衍生物、四苯甲烷衍生物、peg、上轉換、石墨烯、光電材料、點擊化學、凝集素、載玻片、蛋白質交聯劑、脂質體、蛋白、多肽、氨基酸、糖化學等。