葡聚糖-吲哚菁綠,ICG-Dextran,ICG標記葡聚糖
產品名稱:葡聚糖-吲哚菁綠,ICG-Dextran,ICG標記葡聚糖
產品描述:
英文名稱:ICG-Dextran
中文名:葡聚糖-吲哚菁綠
別稱:吲哚菁綠標記葡聚糖,Dextran-Indocyanine green,ICG-Dextran,ICG標記葡聚糖
分子量:ICG-Dextran,MW:40k
ICG-Dextran,MW:70k
外觀狀態:綠色粉末
質量:90%+
熒光波長:785/821NM.
溶解性:SolubleinDMSOorDMF.
保存:-20℃2年
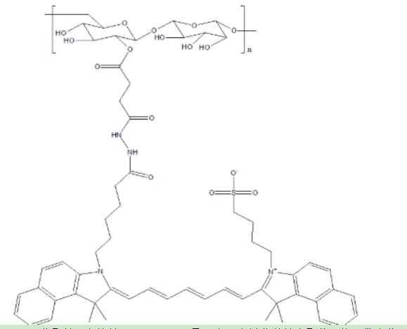
結構式
齊岳生物可以提供的幾種多糖系列產品:
多糖系列一:海藻酸鈉Alginate衍生物系列:
多糖系列二:Chitosan殼聚糖衍生物系列
多糖系列三:Dextran葡聚糖衍生物系列
多糖系列四:Heparin肝素衍生物系列產品
多糖系列產品五:Chondroitin-Sulfate硫酸軟骨素衍生物系列產品
多糖系列產品六:纖維素衍生物系列產品
多糖系列產品七:聚蔗糖衍生物系列產品Ficoll & Conjugates
廠家:西安齊岳生物科技有限公司
以上資料來自小編axc,2022.09.22
以上文中提到的產品僅用于科研,不能用于人體。
聯系我們:
郵箱:2519696869@qq.com
QQ: 2519696869
電話:18066853083
微信:18066853083

公司介紹:
西安齊岳生物科技有限公司是集化學科研和定制與一體的高科技化學公司。業務范圍包括化學試劑和產品的研發、生產、銷售等。涉及產品為通用試劑的分銷、非通用試劑的定制與研發,涵蓋生物科技、化學品、中間體和化工材料等領域。
主營產品:COF、MOF單體系列:三蝶烯衍生物、金剛烷衍生物、四苯甲烷衍生物、peg、上轉換、石墨烯、光電材料、點擊化學、凝集素、載玻片、蛋白質交聯劑、脂質體、蛋白、多肽、氨基酸、糖化學等。