葡萄糖-透明質酸 Glucose-Hyaluronicacid
產品名稱:葡萄糖-透明質酸 Glucose-Hyaluronicacid
產品描述:
葡萄糖-透明質酸 Glucose-Hyaluronicacid
中文名稱:葡萄糖-透明質酸
英文名稱:Glucose-Hyaluronicacid
別稱:透明質酸修飾葡萄糖,HA-葡萄糖
純度:95%+
存儲條件:-20°C,避光,避濕
外觀:固體或粘性液體,取決于分子量
PEG分子量可選:350、550、750、1k、2k、34k、5k
包裝:瓶裝/袋裝
溶解性:溶于大部分有機溶劑,如:DCM、DMF、DMSO、THF等等。在水中有很好的溶解性
注意事項:取用一定要干燥,避免頻繁的溶解和凍干
地址:西安
廠家:西安齊岳生物
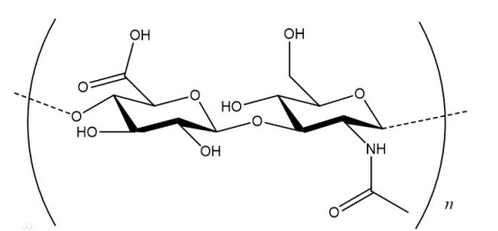
透明質酸,又稱玻尿酸,分子式是(C14H21NO11)n,是D-葡萄糖醛酸及N-乙酰葡糖胺組成的雙糖單位糖胺聚糖。西安齊岳生物還可以提供PEG接枝修飾葡萄糖,葡萄糖-聚乙二醇-透明質酸,Hyaluronicacid-PEG-Glucose,透明質酸-PEG-葡萄糖

產品目錄:
殼聚糖-血卟啉單甲醚
殼聚糖-二氫卟吩
殼聚糖-二硬脂酰基磷脂酰乙醇胺
殼聚糖-二棕櫚酰基磷脂酰乙醇胺
殼聚糖-二油酰基磷脂酰乙醇胺
殼聚糖-二肉豆蔻酰基磷脂酰乙醇胺
殼聚糖-二月桂酰基磷脂酰乙醇胺
殼聚糖-維生素D
殼聚糖-維生素E
殼聚糖-膽固醇
殼聚糖-硬脂酸
殼聚糖-棕櫚酸
殼聚糖-二肉豆蔻酰-sn-甘油
殼聚糖-雙棕櫚酸甘油酯
殼聚糖-二棕櫚酰磷脂酰絲氨酸
殼聚糖-聚乳酸-羥基乙酸共聚物
廠家:西安齊岳生物科技有限公司
以上資料來自小編axc,2022.11.28
以上文中提到的產品僅用于科研,不能用于人體。
聯系我們:
郵箱:2519696869@qq.com
QQ: 2519696869
電話:18066853083
微信:18066853083
公司介紹:
西安齊岳生物科技有限公司是集化學科研和定制與一體的高科技化學公司。業務范圍包括化學試劑和產品的研發、生產、銷售等。涉及產品為通用試劑的分銷、非通用試劑的定制與研發,涵蓋生物科技、化學品、中間體和化工材料等領域。
主營產品:COF、MOF單體系列:三蝶烯衍生物、金剛烷衍生物、四苯甲烷衍生物、peg、上轉換、石墨烯、光電材料、點擊化學、凝集素、載玻片、蛋白質交聯劑、脂質體、蛋白、多肽、氨基酸、糖化學等。


