UDP-GalNAc,108320-87-2,尿嘧啶核苷-5′-二磷酸-N-乙酰氨基半乳糖二鈉鹽
產品名稱:UDP-GalNAc,108320-87-2,尿嘧啶核苷-5′-二磷酸-N-乙酰氨基半乳糖二鈉鹽
產品描述:
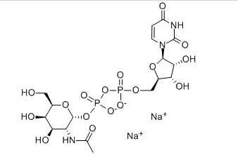
UDP-GalNAc
UDP-GalNAc,108320-87-2,尿嘧啶核苷-5′-二磷酸-N-乙酰氨基半乳糖二鈉鹽
英文名稱: UDP-ALPHA-D-N-ACETYLGALACTOSAMINE, DISODIUM SALT
中文名稱: 尿嘧啶核苷-5′-二磷酸-N-乙酰氨基半乳糖二鈉鹽
分子式: C17H25N3Na2O17P2
分子量: 651.32
CAS: 108320-87-2
規格 : 50mg,10mg,5mg
純度 : >=95%
貨期 : 現貨
UDP-GalNAc
產地:西安
用途:科研
品牌:西安齊岳生物
聯系我們:
郵箱:2519696869@qq.com
QQ: 2519696869
電話:18066853083
微信:18066853083

公司介紹:
西安齊岳生物科技有限公司是集化學科研和定制與一體的高科技化學公司。業務范圍包括化學試劑和產品的研發、生產、銷售等。涉及產品為通用試劑的分銷、非通用試劑的定制與研發,涵蓋生物科技、化學品、中間體和化工材料等領域。
主營產品:COF、MOF單體系列:三蝶烯衍生物、金剛烷衍生物、四苯甲烷衍生物、peg、上轉換、石墨烯、光電材料、點擊化學、凝集素、載玻片、蛋白質交聯劑、脂質體、蛋白、多肽、氨基酸、糖化學等。