Meso-5,10,15,20-四(4-甲氧基苯基)卟啉(TMOPP)
產品名稱:Meso-5,10,15,20-四(4-甲氧基苯基)卟啉(TMOPP)
產品描述:
中文名稱:Meso-5,10,15,20-四(4-甲氧基苯基)卟啉
英文名稱:TMOPP
純度:98%
包裝:瓶裝
地址:西安
溶解性:易溶于甲醇、DMF等有機溶劑,易溶于水
保存條件:-20℃以下冰凍、干燥。
廠家:西安齊岳生物科技有限公司
描述:
在裝有機械攪拌和溫度計的2000mL三口燒瓶中裝人丙酸1200mL、硝基苯500mL、吡咯34.6mL、對甲氧基苯甲醛60.7mL,攪拌,回流反應兩小時(回流溫度123C)后停止加熱,邊攪拌邊自然降溫,冷卻至60°C后過濾,將濾餅以200mL甲醇洗三次,干燥,得產品37.4g,收率為40.8%。
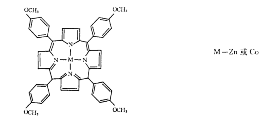
5,10,15,20-四(4-甲氧基苯基)卟啉鋅、鈷配合物:Zn[T(4-MOP)P]及co[T(4-MOP)P]

相關產品目錄:
5-(對羥基苯基)-10,15,20-三苯基卟啉(H2MTPP)
四羥基卟啉(THTPPFeCl)
卟啉鐵/錳(TPPFeCl/TPPMnCl)
四鄰氯卟啉鐵/錳(TClTPPFeCl/TClTPPMnCl)
四硝基卟啉鐵(TNTPPFeCl)
四硝基卟啉錳(TNTPPMnCl)
5,10,15,20-四苯基鐵卟啉[TPPFeCl]晶體
以上文中提到的產品僅用于科研,不能用于人體。
聯系我們:
郵箱:2519696869@qq.com
QQ: 2519696869
電話:18066853083
微信:18066853083
公司介紹:
西安齊岳生物科技有限公司是集化學科研和定制與一體的高科技化學公司。業務范圍包括化學試劑和產品的研發、生產、銷售等。涉及產品為通用試劑的分銷、非通用試劑的定制與研發,涵蓋生物科技、化學品、中間體和化工材料等領域。
主營產品:COF、MOF單體系列:三蝶烯衍生物、金剛烷衍生物、四苯甲烷衍生物、peg、上轉換、石墨烯、光電材料、點擊化學、凝集素、載玻片、蛋白質交聯劑、脂質體、蛋白、多肽、氨基酸、糖化學等。


