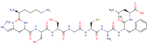
Shepherdin (79-87)
作者:齊岳
發布時間:2023-07-04
09:06:04
點擊數:
產品名稱:Shepherdin (79-87)
產品描述:
Shepherdin 79-87 is amino acids 79 to 87 fragment of Shepherdin. Shepherdin is a peptidomimetic antagonist of the complex between Hsp90 and Survivin,with anticancer activity.
861224-28-4
C41H64N12O12S
949.09
Shepherdin 79-87;Shepherdin (79-87)
( < 1 mg/ml refers to the product slightly soluble or insoluble )
Powder: -20°C for 3 years
In solvent: -80°C for 2 years
Powder: -20°C for 3 years
In solvent: -80°C for 2 years
聯系我們:
郵箱:2519696869@qq.com
QQ: 2519696869
電話:18066853083
微信:18066853083

公司介紹:
西安齊岳生物科技有限公司是集化學科研和定制與一體的高科技化學公司。業務范圍包括化學試劑和產品的研發、生產、銷售等。涉及產品為通用試劑的分銷、非通用試劑的定制與研發,涵蓋生物科技、化學品、中間體和化工材料等領域。
主營產品:COF、MOF單體系列:三蝶烯衍生物、金剛烷衍生物、四苯甲烷衍生物、peg、上轉換、石墨烯、光電材料、點擊化學、凝集素、載玻片、蛋白質交聯劑、脂質體、蛋白、多肽、氨基酸、糖化學等。