PLE(H) 聚L谷氨酸 聚氨基酸-均聚物, CAS#25513-46-6
產品名稱: PLE(H) 聚L谷氨酸 聚氨基酸-均聚物, CAS#25513-46-6
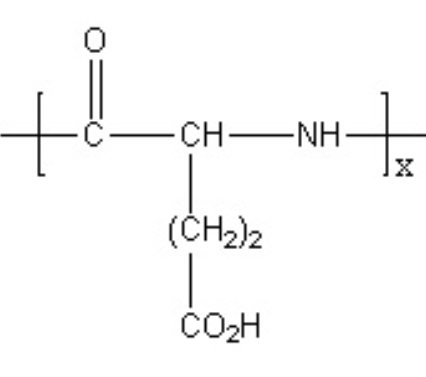
產品描述:
PLE(H) 聚L谷氨酸 聚氨基酸-均聚物
Poly(L-glutamic acid),
CAS#25513-46-6
中文名稱:聚L谷氨酸
英文簡稱:PLE(H)
英文全稱:Poly(L-glutamic acid)
CAS號:25513-46-6
主鏈結構:直鏈均聚物
主要成分:PLE
親疏水性:親水
產品類型:聚氨基酸
熒光/發光:無
外觀/形態:固態粉末或顆粒(以實際外觀為準)
純度:90-100%
關于我們:
西安齊岳生物科技有限公司成立于2015年7月,是一家從事材料科學,高端化學,生命科學的科研試劑公司。2015年發展至今,公司經營產品種類多達上百種,銷售產品十幾萬個,公司一直致力于為科研客戶提供的產品服務,廣的產品種類,有價格競爭力的科研試劑。
相關產品:
azide-PEG9-OH
Biotin-PEG10-NHS ester
Biotin-PEG12-Acid
Biotin-PEG12-NHS ester
Biotin-PEG12-OH
Biotin-PEG2-Acid
Biotin-PEG2-NHS ester
Biotin-PEG32-NHS
Biotin-PEG3-Acid
Biotin-PEG3-NHS ester
Biotin-PEG3-OH
Biotin-PEG4-Acid
Biotin-PEG4-NHS ester
Biotin-PEG4-OH
Biotin-PEG5-Acid
聯系我們:
郵箱:2519696869@qq.com
QQ: 2519696869
電話:18066853083
微信:18066853083

公司介紹:
西安齊岳生物科技有限公司是集化學科研和定制與一體的高科技化學公司。業務范圍包括化學試劑和產品的研發、生產、銷售等。涉及產品為通用試劑的分銷、非通用試劑的定制與研發,涵蓋生物科技、化學品、中間體和化工材料等領域。
主營產品:COF、MOF單體系列:三蝶烯衍生物、金剛烷衍生物、四苯甲烷衍生物、peg、上轉換、石墨烯、光電材料、點擊化學、凝集素、載玻片、蛋白質交聯劑、脂質體、蛋白、多肽、氨基酸、糖化學等。