DSPE-PEG-GE11,磷脂-聚乙二醇-腫瘤細胞表皮生長因子肽GE11
產品名稱:DSPE-PEG-GE11,磷脂-聚乙二醇-腫瘤細胞表皮生長因子肽GE11
產品描述:
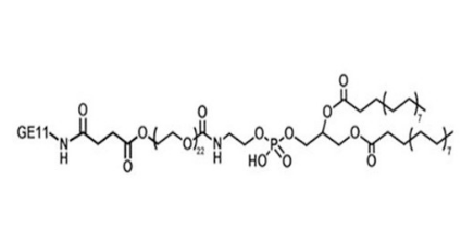
DSPE-PEG-GE11,MW:3400
中文:磷脂-聚乙二醇-腫瘤細胞表皮生長因子肽GE11
英文:DSPE-PEG-GE11
所屬分類:DSPE PEG
DSPE-PEG-GE11磷脂聚乙二醇細胞表皮生長因子肽GE11可做成膠束,EGFR的靶向多肽GE11,該多肽已經被廣泛應用于基因和藥物的腫瘤靶向導入。磷脂膠束具有較好的腫瘤組織穿透性,對其引入靶向性有可能獲得更好的腫瘤組織藥物聚集效果。
多肽GE11(序列:YHWYGYTPQNVI)是通過噬菌體肽庫篩選技術獲得的小分子多肽,由11個氨基酸組成,與大分子天然配體相比,多肽配體的優點:相對分子分子質量小,免疫原性低;易擴散及靶向性高,可以滿足靶向的要求;對細胞的生長沒有影響。
類型:多肽
用途:科研
包裝: 瓶裝
供應商:西安齊岳生物科技有限公司
溫馨提示:僅用于科研!
西安齊岳生物科技有限公司成立于2015年7月,是一家從事材料科學,高端化學,生命科學的科研試劑公司。2015年發展至今,公司經營產品種類多達上百種,銷售產品十幾萬個,公司一直致力于為科研客戶提供優質的產品服務,廣泛的產品種類,有價格競爭力的科研試劑。
相關產品:
羧基-聚乙二醇-反式環辛烯
馬來酰亞胺-聚乙二醇-反式環辛烯
四嗪-聚乙二醇-馬來酰亞胺
疊氮-聚乙二醇-反式環辛烯
四嗪-聚乙二醇-羧基
巰基-聚乙二醇-反式環辛烯
葉酸聚乙二醇二苯基環辛炔
磷脂-聚乙二醇-反式環辛烯
葉酸-聚乙二醇-反式環辛烯
熒光素-聚乙二醇-反式環辛烯
CY5-聚乙二醇-反式環辛烯
CY7-聚乙二醇-反式環辛烯
磷脂聚乙二醇二苯基環辛炔
環肽-聚乙二醇-反式環辛烯
四嗪-聚乙二醇-二苯基環辛炔
線肽-聚乙二醇-反式環辛烯
聯系我們:
郵箱:2519696869@qq.com
QQ: 2519696869
電話:18066853083
微信:18066853083

公司介紹:
西安齊岳生物科技有限公司是集化學科研和定制與一體的高科技化學公司。業務范圍包括化學試劑和產品的研發、生產、銷售等。涉及產品為通用試劑的分銷、非通用試劑的定制與研發,涵蓋生物科技、化學品、中間體和化工材料等領域。
主營產品:COF、MOF單體系列:三蝶烯衍生物、金剛烷衍生物、四苯甲烷衍生物、peg、上轉換、石墨烯、光電材料、點擊化學、凝集素、載玻片、蛋白質交聯劑、脂質體、蛋白、多肽、氨基酸、糖化學等。