磷脂-聚乙二醇-靶向穿膜肽cRGD環肽 DSPE-PEG-cRGD,MW:2000
產品名稱:磷脂-聚乙二醇-靶向穿膜肽cRGD環肽 DSPE-PEG-cRGD,MW:2000
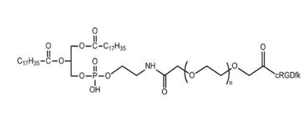
產品描述:
磷脂-聚乙二醇-靶向穿膜肽cRGD環肽 DSPE-PEG-cRGD,MW:2000
中文:磷脂-聚乙二醇-靶向穿膜肽cRGD環肽
英文:DSPE-PEG-cRGD
The cRGD-PEG-DSPE chain consists of a cRGD cyclic peptide and DSPE phospholipids at either end. It is an active target substance and can be used as an anti-tumor drug carrier and active target substance. Applications of RGD peptides include inhibition of apoptosis, angiogenesis and tumorigenesis. RGD peptides are used as coating surfaces for biomaterials to enhance drug delivery and imaging for disease diagnosis. PEGated RGDs can be cross-linked with other molecules through reactive end groups on PEGs and used in a variety of biomedical research. The polyethylene glycolation of phospholipids significantly improved the cycle time and stability of encapsulated drugs. These materials can also be used for targeted drug delivery by modifying their surfaces with targeted ligands (e.g. antibodies, peptides).
DSPE-PEG-cRGD的應用:
1、可用于膠束、囊泡的被動靶向,主動靶向研究和用于藥物輸送;
2、可用于藥物傳遞、基因轉染和生物分子修飾;
3、改善了膠囊藥物的血液循環時間和穩定性。
用途:科研
包裝: 瓶裝
供應商:西安齊岳生物科技有限公司
溫馨提示:僅用于科研!
西安齊岳生物科技有限公司成立于2015年7月,是一家從事材料科學,高端化學,生命科學的科研試劑公司。2015年發展至今,公司經營產品種類多達上百種,銷售產品十幾萬個,公司一直致力于為科研客戶提供優質的產品服務,廣泛的產品種類,有價格競爭力的科研試劑。
相關產品:
甲氧基聚乙二醇環丙烷環辛炔
C17H17NO5
膽固醇聚乙二醇二苯基環辛炔
炔基聚乙二醇叔丁酯 叔丁酯PEG炔
二二苯基環辛炔聚乙二醇
八臂聚乙二醇二苯基環辛炔
二苯基環辛炔-胺 氨基-二苯基環辛炔
甲基四嗪-四乙二醇-羧基
(endo)環丙烷環辛炔-三乙二醇-氨基
C??H??N??O?
甲氧基聚乙二醇二苯基環辛炔
2-溴-2-甲基-3-(三甲基硅)-環丙烷甲醇
氨基聚乙二醇二苯基環辛炔
甲氧基聚乙二醇四嗪
巰基聚乙二醇二苯基環辛炔
馬來酰亞胺聚乙二醇二苯基環辛炔
四嗪-聚乙二醇-活性酯
四嗪-聚乙二醇-活性酯
(4E)-TCO-NHS ester
活性酯聚乙二醇二苯基環辛炔
生物素聚乙二醇二苯基環辛炔
四嗪-聚乙二醇-馬來酰亞胺
聯系我們:
郵箱:2519696869@qq.com
QQ: 2519696869
電話:18066853083
微信:18066853083

公司介紹:
西安齊岳生物科技有限公司是集化學科研和定制與一體的高科技化學公司。業務范圍包括化學試劑和產品的研發、生產、銷售等。涉及產品為通用試劑的分銷、非通用試劑的定制與研發,涵蓋生物科技、化學品、中間體和化工材料等領域。
主營產品:COF、MOF單體系列:三蝶烯衍生物、金剛烷衍生物、四苯甲烷衍生物、peg、上轉換、石墨烯、光電材料、點擊化學、凝集素、載玻片、蛋白質交聯劑、脂質體、蛋白、多肽、氨基酸、糖化學等。