紅色熒光素標記海藻酸鈉 Rhodamine-Alginate/TRITC-Alginate
產品名稱:紅色熒光素標記海藻酸鈉 Rhodamine-Alginate/TRITC-Alginate
產品描述:
產品名稱:紅色熒光素標記海藻酸鈉
英文簡稱:Rhodamine-Alginate/TRITC-Alginate
英文簡介:
Alginate is labeled with rhodamine, Ex/Em wavelength 552/575 nm. Purity: >95% powder. Degree of substitution: 1 mol % substitution and at least one dye molecule per polymer.
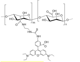
結構式:
波長:552 nm-575nm
Viscosity: 200–500 mPa.s,/100-300 cP/600-900 cP/1,000-1,500 cP
純度:95%+
狀態:紅色粉末
廠家:西安齊岳生物科技有限公司
相關產品:
水溶性吲哚菁綠-疊氮
disulfo-ICG Bis-NHS Ester
水溶性ICG Bis-NHS Ester
水溶性吲哚菁綠-活性酯(Bis)
disulfo-ICG Bis-Thiol
水溶性ICG Bis-SH
水溶性吲哚菁綠-巰基(Bis)
disulfo-ICG DBCO
水溶性ICG DBCO
水溶性吲哚菁綠-二苯基環辛炔
diSulfo-ICG Hydrazide
水溶性ICG Hydrazide
水溶性吲哚菁綠-酰肼
diSulfo-ICG Maleimide
水溶性ICG Maleimide
水溶性吲哚菁綠-馬來酰亞胺
聯系我們:
郵箱:2519696869@qq.com
QQ: 2519696869
電話:18066853083
微信:18066853083

公司介紹:
西安齊岳生物科技有限公司是集化學科研和定制與一體的高科技化學公司。業務范圍包括化學試劑和產品的研發、生產、銷售等。涉及產品為通用試劑的分銷、非通用試劑的定制與研發,涵蓋生物科技、化學品、中間體和化工材料等領域。
主營產品:COF、MOF單體系列:三蝶烯衍生物、金剛烷衍生物、四苯甲烷衍生物、peg、上轉換、石墨烯、光電材料、點擊化學、凝集素、載玻片、蛋白質交聯劑、脂質體、蛋白、多肽、氨基酸、糖化學等。