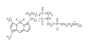
β-BODIPY FL C12-HPC(2-(4,4-二氟-5,7-二甲基-4-硼雜-3a,4a-二氮雜-s-引達省-3-月桂酰基)-1-二十六烷酰基-sn甘油-3-磷酸乙醇胺)
產品名稱:β-BODIPY FL C12-HPC(2-(4,4-二氟-5,7-二甲基-4-硼雜-3a,4a-二氮雜-s-引達省-3-月桂酰基)-1-二十六烷酰基-sn甘油-3-磷酸乙醇胺)
產品描述:
β-BODIPY FL C12-HPC(2-(4,4-二氟-5,7-二甲基-4-硼雜-3a,4a-二氮雜-s-引達省-3-月桂酰基)-1-二十六烷酰基-sn甘油-3-磷酸乙醇胺)
發明亮熒光的 BODIPY(4,4-二氟-3a,4a-二氮雜-?s-引達省)熒光基團的本質是親脂性的,與大多數其他長波長染料不同。因此,摻入這些熒光基團的探針更可能模擬天然脂質的性質。BODIPY? 脂肪酸類似物(如 BODIPY? 500/510 十二烷基諾酸 (D-3823) 和 BODIPY FL 十二烷基二甲酸 (D-3822) )在細胞中會發生類天然運輸和代謝。因此,它們是對脂質運輸活動的有效示蹤劑,同時也是非常有用的通用型膜探針。
分子式:C47H81BF2N3O8P
分子量:895.95
相關產品:
氟硼吡咯(Bodidy)錳納米復合物
共價連接BODIPY光敏劑的聚合物納米膠束
新型BODIPY自組裝體 diiodo-distyryl-TEG-borondipyrromethene(TBDP)
聚多肽納米粒負載BODIPY
BODIPY的次氯酸根熒光探針及pH和光雙控藥物傳輸納米硅球
BODIPY功能化糖基聚合物復合銀納米粒子
熒光多孔二氧化硅納米微球SiO2-NH2-BODIPY-Aldehyde
NHS-BODIPY-2Br
載BODIPY納米制劑
脂質體包裹BODIPY光敏劑
聯系我們:
郵箱:2519696869@qq.com
QQ: 2519696869
電話:18066853083
微信:18066853083

公司介紹:
西安齊岳生物科技有限公司是集化學科研和定制與一體的高科技化學公司。業務范圍包括化學試劑和產品的研發、生產、銷售等。涉及產品為通用試劑的分銷、非通用試劑的定制與研發,涵蓋生物科技、化學品、中間體和化工材料等領域。
主營產品:COF、MOF單體系列:三蝶烯衍生物、金剛烷衍生物、四苯甲烷衍生物、peg、上轉換、石墨烯、光電材料、點擊化學、凝集素、載玻片、蛋白質交聯劑、脂質體、蛋白、多肽、氨基酸、糖化學等。