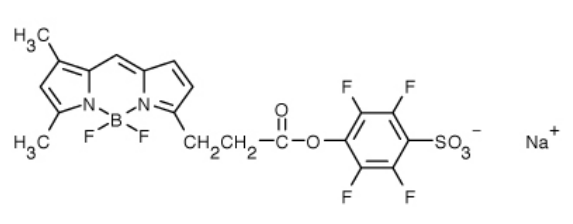
BODIPY FL, STP Ester, Sodium Salt
產品名稱:BODIPY FL, STP Ester, Sodium Salt
產品描述:
BODIPY FL, STP Ester, Sodium Salt
胺反應性BODIPY?FL STP酯產生電子中性染料共軛物,其光譜類似于帶負電的熒光素染料。這種染料缺乏離子電荷,對與這種熒光團結合的標準蛋白質的等電點影響小。
胺反應性BODIPY?FL STP酯產生電子中性染料共軛物,其光譜類似于帶負電的熒光素染料。這種染料缺乏離子電荷,對與這種熒光團結合的標準蛋白質的等電點影響小。BODIPY?FL染料的小尺寸和相對較長的激發態壽命已被證明有助于通過熒光偏振研究配體-受體相互作用。此外,BODIPY?FL染料與波長較長的染料(如四甲基羅丹明和得克薩斯紅染料)幾乎沒有光譜重疊,使其成為多色應用中有用的綠色熒光團。STP酯比簡單的琥珀酰亞胺酯具有更高的水溶性;得到的染料共軛物是相同的。
相關產品:
3,5-二(2-碘苯基)-1,7,8-三苯基F-Bodipy
3,5-二(2-碘苯基)-1,7-二苯基Aza F-Bodipy
稠合外環的硼—二吡咯亞甲基(BDP)染料
疊氮-吡啶BODIPY熒光染料
中位取代苯硼酸的含稠合外環的硼-二吡咯亞甲基(BDP)染料
Bodipy敏化銥配合物光電功能材料-[Ir(CHO-ppy)2(bpy-E-BDP)]PF6(Ir-1)
5-乙炔基Bodipy-2,2′-聯吡啶(bpy-E-BDP)
鄰菲羅啉Bodipy(phen-BDP)
聯吡啶Bodipy(bpy-BDP)
2-(4-Bodipy苯基)吡啶 4-ppy-BDP
2-(3-Bodipy苯基)吡啶 3-ppy-BDP
聯系我們:
郵箱:2519696869@qq.com
QQ: 2519696869
電話:18066853083
微信:18066853083

公司介紹:
西安齊岳生物科技有限公司是集化學科研和定制與一體的高科技化學公司。業務范圍包括化學試劑和產品的研發、生產、銷售等。涉及產品為通用試劑的分銷、非通用試劑的定制與研發,涵蓋生物科技、化學品、中間體和化工材料等領域。
主營產品:COF、MOF單體系列:三蝶烯衍生物、金剛烷衍生物、四苯甲烷衍生物、peg、上轉換、石墨烯、光電材料、點擊化學、凝集素、載玻片、蛋白質交聯劑、脂質體、蛋白、多肽、氨基酸、糖化學等。