DSPE-PEG2K-TAT(YGRKKRRQRRR) 磷脂-聚乙二醇2k-靶向穿膜肽TAT
產品名稱:DSPE-PEG2K-TAT(YGRKKRRQRRR) 磷脂-聚乙二醇2k-靶向穿膜肽TAT
產品描述:
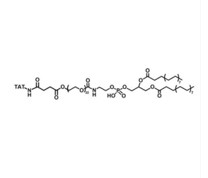
DSPE-PEG2K-TAT(YGRKKRRQRRR)
磷脂-聚乙二醇2k-靶向穿膜肽TAT DSPE- PEG2k-TAT
英文名稱:DSPE-PEG2k-TAT
中文名稱:磷脂-聚乙二醇2k-靶向穿膜肽TAT
多肽序列: YGRKKRRQRRR
外 觀 : 半固體或固體,取決于分子量。
溶解性:有機溶劑等
分子量:1000、2000、3400、5000、10000
注意事項:避免頻繁解凍,現配現用,保持干燥,避光。
存儲條件:-20℃以下冰凍、干燥、避光。
長期保存:惰性(氬氣或者氮氣)保護。產品化學性質DSPE-PEG-TAT靶向穿膜肽TAT -聚乙二醇-磷脂具有強的細胞穿透力且能直接作用于細胞核。
本產品僅用于研究和制造用途,不能用于人類或診斷用途。
包裝:瓶裝
產地:西安
用途:僅用于科研
品牌:西安齊岳創科生物
關于我們:
西安齊岳創科生物是一家從事經營進口科研試劑銷售公司,科研試劑主要涉及生命科學、醫學及藥學。 我們主要供應peg衍生物、氨基酸、玻片、光電化學、雜環小分子、熒光染料、糖化學、小分子半導體砌塊、有機硅、有機氟、倍半硅氧烷、蛋白及糖類偶聯、產品、超分子主體材料、大環配體、點擊化學、電鍍化學品等等產品。
相關產品:
羧基聚乙二醇羧基 羧基PEG羧基 乙酸聚乙二醇乙酸 聚乙二醇二羧基 聚乙二醇二乙酸
二丁二酸基聚乙二醇 丁二酸PEG丁二酸
胺聚乙二醇胺 氨基聚乙二醇氨基 聚乙二醇二胺 聚乙二醇二氨基 氨基PEG氨基
二乙烯磺酸酯聚乙二醇 乙烯磺酸酯聚乙二醇 乙烯磺酸酯
二戊二酸基聚乙二醇 戊二酸PEG戊二酸
二丁二酰胺酸基聚乙二醇 酰胺丁二酸PEG酰胺丁二酸
酰肼聚乙二醇酰肼 酰肼PEG酰肼 聚乙二醇二酰肼
二戊二酰胺酸基聚乙二醇 酰胺戊二酸PEG酰胺戊二酸
聯系我們:
郵箱:2519696869@qq.com
QQ: 2519696869
電話:18066853083
微信:18066853083

公司介紹:
西安齊岳生物科技有限公司是集化學科研和定制與一體的高科技化學公司。業務范圍包括化學試劑和產品的研發、生產、銷售等。涉及產品為通用試劑的分銷、非通用試劑的定制與研發,涵蓋生物科技、化學品、中間體和化工材料等領域。
主營產品:COF、MOF單體系列:三蝶烯衍生物、金剛烷衍生物、四苯甲烷衍生物、peg、上轉換、石墨烯、光電材料、點擊化學、凝集素、載玻片、蛋白質交聯劑、脂質體、蛋白、多肽、氨基酸、糖化學等。