材料科學
高端化學
生命科學
發光材料
功能性化學
分析化學
其他產品
納米材料定制
PEG衍生物
熒光標記定制
MOF材料定制
小分子定制
多肽定制
其他材料定制
聯系我們
在線留言
CAS:111759-27-4 二元醛基COF單體
CAS:857412-04-5 MOF配體
CAS:62940-38-9 1,4-二(4-醛基苯基)苯
COF-LZU1 共價有機框架 CAS:1242082-12-7
COF-505 卟啉共價有機框架化合物
COF-367-Co 卟啉共價有機框架化合物定制
COF-366 CAS號:1381930-10-4
COF-316,COF-318 共價有機骨架材料
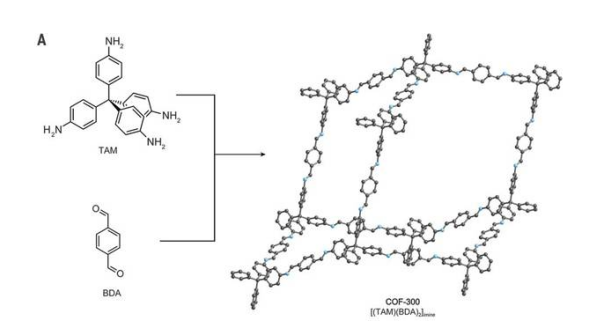
COF-300 共價有機骨架材料
微信客服
聯系電話 : 18066853083
郵箱 : 2265195031@qq.com
地址 : 陜西省西安市蓮湖區永新路18號天賜苑6幢10302-B80號
產品分類
定制產品
定制技術
技術文章
資訊信息
齊岳微信公眾號
齊岳官方微信