葡聚糖-CY5,Dextran-Cyanine5,菁染料CY5標記葡聚糖的溶解度
產品名稱:葡聚糖-CY5,Dextran-Cyanine5,菁染料CY5標記葡聚糖的溶解度
產品描述:
產品名稱:葡聚糖-CY5
英文名稱:Dextran-Cyanine5
別稱:菁染料CY5標記葡聚糖,Cyanine5-葡聚糖
純度:95%+
包裝:瓶裝/袋裝
外觀藍色固體或粉末
分子量70000Da
溶解度:水溶
存儲條件:-20°C,避光,避濕
保存時間1年
波長:646-662nm
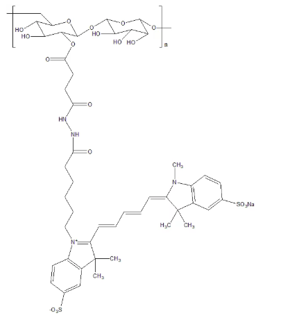
結構式:
西安齊岳生物可以提供基于甘露糖修飾偶聯科研、劑、熒光分子、磷脂、其他小分子化合物、聚合物、多肽和蛋白和活性基團修飾等定制產品。
1:甘露糖-熒光標記物定制:FITC/TRITC/CY3/CY5/CY5.5/CY7/CY7.5/ICG/FA
2:甘露糖-聚合物定制:PEG/PEI/dextran/PLAG/PCL/PLA/PAA
3:甘露糖--多肽,蛋白定制
4:甘露糖-活性基團(NH2/MAL/COOH/NHS/N3/ALK/DBCO)定制
5:甘露糖-小分子定制(科研 劑 熒光分子 磷脂 其他小分子化合物)
以上資料來自小編axc,2022.09.20
溫馨提示:以上文中提到的產品僅用于科研,不能用于人體
聯系我們:
郵箱:2519696869@qq.com
QQ: 2519696869
電話:18066853083
微信:18066853083

公司介紹:
西安齊岳生物科技有限公司是集化學科研和定制與一體的高科技化學公司。業務范圍包括化學試劑和產品的研發、生產、銷售等。涉及產品為通用試劑的分銷、非通用試劑的定制與研發,涵蓋生物科技、化學品、中間體和化工材料等領域。
主營產品:COF、MOF單體系列:三蝶烯衍生物、金剛烷衍生物、四苯甲烷衍生物、peg、上轉換、石墨烯、光電材料、點擊化學、凝集素、載玻片、蛋白質交聯劑、脂質體、蛋白、多肽、氨基酸、糖化學等。