葡聚糖-Cy3.5,Cy3.5-Dextran,紅色熒光標記葡聚糖
產品名稱:葡聚糖-Cy3.5,Cy3.5-Dextran,紅色熒光標記葡聚糖
產品描述:
產品名稱:葡聚糖-Cy3.5
英文名稱:Cy3.5-Dextran
別稱:紅色熒光標記葡聚糖,熒光染料Cy3.5修飾葡聚糖
純度:95%+
外觀: 固體或粘性液體,取決于分子量
包裝:瓶裝/袋裝
外觀 紫色固體
溶解度 水溶
存儲條件:-20°C,避光,避濕
保存時間 1年
波長:591-604nm
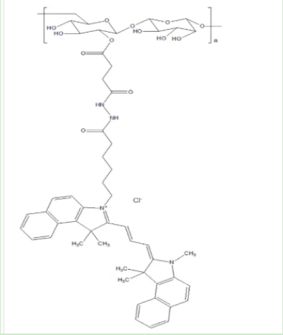
結構式:
描述:Cy3.5標記葡聚糖是發射紅色熒光的納米級熒光葡聚糖結合物之一。Cy3.5葡聚糖共軛物具有激發/發射波長約591納米/604納米。我們提供各種化學官能化和熒光標記的葡聚糖產物,其光激發/發射跨越400納米至800納米。這些熒光中心葡聚糖通過大小色譜純化,以除去非共軛染料分子,并確保在體外和體內都有足夠的應用。
相關產品:
葡聚糖-氨基 Dextran-NH2 氨基修飾葡聚糖
葡聚糖-羧酸 Dextran-COOH 羧酸功能化葡聚糖
葡聚糖-馬來酰亞胺 Dextran-MAL 馬來酰亞胺改性葡聚糖
葡聚糖-N-羥基琥珀酰亞胺 Dextran-NHS N-羥基琥珀酰亞胺偶聯葡聚糖
葡聚糖-疊氮 Dextran-N3 疊氮修飾葡聚糖
葡聚糖-炔基 Dextran-Alkyne 炔基功能化葡聚糖
葡聚糖-巰基 Dextran-SH 巰基改性葡聚糖
葡聚糖-生物素 Dextran-Biotin 生物素修飾葡聚糖
葡聚糖-醛基 Dextran-CHO 醛基修飾葡聚糖
以上資料來自小編axc,2022.09.20
溫馨提示:以上文中提到的產品僅用于科研,不能用于人體
聯系我們:
郵箱:2519696869@qq.com
QQ: 2519696869
電話:18066853083
微信:18066853083

公司介紹:
西安齊岳生物科技有限公司是集化學科研和定制與一體的高科技化學公司。業務范圍包括化學試劑和產品的研發、生產、銷售等。涉及產品為通用試劑的分銷、非通用試劑的定制與研發,涵蓋生物科技、化學品、中間體和化工材料等領域。
主營產品:COF、MOF單體系列:三蝶烯衍生物、金剛烷衍生物、四苯甲烷衍生物、peg、上轉換、石墨烯、光電材料、點擊化學、凝集素、載玻片、蛋白質交聯劑、脂質體、蛋白、多肽、氨基酸、糖化學等。