BCN-PEG-NH2 環丙烷環辛炔聚乙二醇氨基
產品名稱:BCN-PEG-NH2 環丙烷環辛炔聚乙二醇氨基
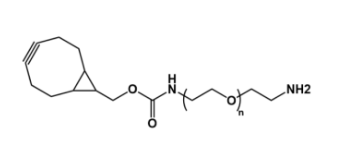
產品描述:
雙環[6,1,0]壬炔 (BCN) (環丙烷環辛炔)可以通過無銅的點擊化學與疊氮化物標記的分子或生物分子反應生成穩定的三氮唑連接。
產品名稱 BCN-PEG-NH2 環丙烷環辛炔聚乙二醇氨基
中文名稱 環丙烷環辛炔聚乙二醇氨基
英文名稱 BCN-PEG-NH2
分子量 1000
CAS N/A
溶解度 DMSO,CHCl3,甲醇
存儲條件 -20°冷凍
保存時間 一年
其它分子量 2000 3400 5000 10000
定制合成服務:
西安齊岳生物科技有限公司提供各種復雜的PEG衍生物定制服務,熒光標記肽,各種特殊基因,各種特殊蛋白或分子,多肽修飾PEG的偶聯。
1. 提供各種復雜、特殊的PEG產品定制;
2. 擁有齊全的PEG產品備庫可提供幾千多種產品種類;
3. 提供多種官能團修飾,性能好,純度高,產品分子量200~40k;
4. 生產工藝簡化,雜質低,品質穩定,取代率純度大于95%;
PEG分子量可定制,1000,5000,3400,10000等等
相關產品:
BCN-PEG-DOPE
BCN-PEG-DMPE
BCN-PEG-DLPE
BCN-PEG-Vitamin D
BCN-PEG-Vitamin E
BCN-PEG-Cholesterol
BCN-PEG-C18 Stearic Acid
儲存時間:1年
保存:冷藏
溫馨提醒:僅供科研,不能用于人體實驗
聯系我們:
郵箱:2519696869@qq.com
QQ: 2519696869
電話:18066853083
微信:18066853083

公司介紹:
西安齊岳生物科技有限公司是集化學科研和定制與一體的高科技化學公司。業務范圍包括化學試劑和產品的研發、生產、銷售等。涉及產品為通用試劑的分銷、非通用試劑的定制與研發,涵蓋生物科技、化學品、中間體和化工材料等領域。
主營產品:COF、MOF單體系列:三蝶烯衍生物、金剛烷衍生物、四苯甲烷衍生物、peg、上轉換、石墨烯、光電材料、點擊化學、凝集素、載玻片、蛋白質交聯劑、脂質體、蛋白、多肽、氨基酸、糖化學等。