殼聚糖-金剛烷 Chitosan-Adamantine
產品名稱:殼聚糖-金剛烷 Chitosan-Adamantine
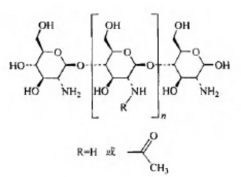
產品描述:
中文名稱:殼聚糖-金剛烷
英文名稱:Chitosan-Adamantine
別稱:金剛烷修飾殼聚糖,金剛烷-殼聚糖
西安齊岳生物還可以提供PEG接枝修飾殼聚糖,殼聚糖-聚乙二醇-金剛烷,Adamantine-PEG-Chitosan,金剛烷-PEG-殼聚糖
純度:95%+
存儲條件:-20°C,避光,避濕
外觀:固體或粘性液體,取決于分子量
PEG分子量可選:350、550、750、1k、2k、34k、5k
包裝:瓶裝/袋裝
溶解性:溶于大部分有機溶劑,如:DCM、DMF、DMSO、THF等等。在水中有很好的溶解性
注意事項:取用一定要干燥,避免頻繁的溶解和凍干
地址:西安
廠家:西安齊岳生物
通過使用具有較大體積的金剛烷和β-環糊精對殼聚糖進行改性,以阻礙氫鍵的生成,改善殼聚糖的水溶性,并使用京尼平作為交聯劑對改性殼聚糖進行化學交聯。
相關產品:
leucine-PEG-殼聚糖 亮氨酸-聚乙二醇-殼聚糖
valine-PEG-殼聚糖 纈氨酸-聚乙二醇-殼聚糖
Tryptophan-PEG-殼聚糖 色氨酸-聚乙二醇-殼聚糖
Arginine-PEG-殼聚糖 精氨酸-聚乙二醇-殼聚糖
Ornithine-PEG-殼聚糖 鳥氨酸-聚乙二醇-殼聚糖
Aspartic acid-PEG-殼聚糖 天冬氨酸-聚乙二醇-殼聚糖
tyrosine-PEG-殼聚糖 絡氨酸-聚乙二醇-殼聚糖
glycine-PEG-殼聚糖 甘氨酸-聚乙二醇-殼聚糖
serine-PEG-殼聚糖 絲氨酸-聚乙二醇-殼聚糖
以上資料來自齊岳生物小編axc,2022.11.08
以上文中提到的產品僅用于科研,不能用于人體。
聯系我們:
郵箱:2519696869@qq.com
QQ: 2519696869
電話:18066853083
微信:18066853083

公司介紹:
西安齊岳生物科技有限公司是集化學科研和定制與一體的高科技化學公司。業務范圍包括化學試劑和產品的研發、生產、銷售等。涉及產品為通用試劑的分銷、非通用試劑的定制與研發,涵蓋生物科技、化學品、中間體和化工材料等領域。
主營產品:COF、MOF單體系列:三蝶烯衍生物、金剛烷衍生物、四苯甲烷衍生物、peg、上轉換、石墨烯、光電材料、點擊化學、凝集素、載玻片、蛋白質交聯劑、脂質體、蛋白、多肽、氨基酸、糖化學等。