殼聚糖-阿奇霉素 Chitosan-Azithromycin
產品名稱:殼聚糖-阿奇霉素 Chitosan-Azithromycin
產品描述:
中文名稱:殼聚糖-阿奇霉素
英文名稱:Chitosan-Azithromycin
別稱:阿奇霉素修飾殼聚糖,阿奇霉素-殼聚糖
西安齊岳生物還可以提供PEG接枝修飾殼聚糖,殼聚糖-聚乙二醇-阿奇霉素,Azithromycin-PEG-Chitosan,阿奇霉素-PEG-殼聚糖
純度:95%+
存儲條件:-20°C,避光,避濕
外觀:固體或粘性液體,取決于分子量
PEG分子量可選:350、550、750、1k、2k、34k、5k
包裝:瓶裝/袋裝
溶解性:溶于大部分有機溶劑,如:DCM、DMF、DMSO、THF等等。在水中有很好的溶解性
注意事項:取用一定要干燥,避免頻繁的溶解和凍干
地址:西安
廠家:西安齊岳生物
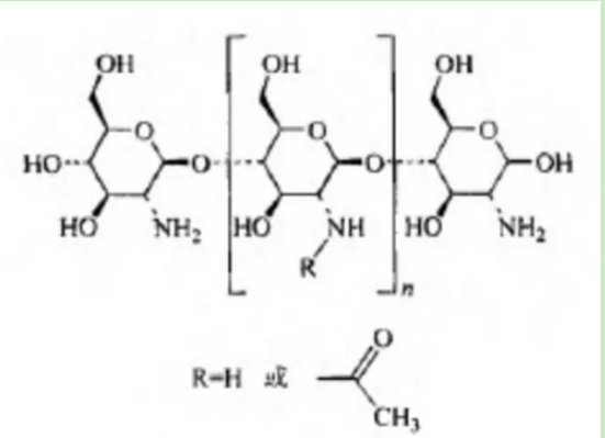
殼聚糖呈現雙螺旋結構特征,螺距為0.515 nm,6個糖殘基組成一個螺旋平面。甲殼素和殼聚糖的氨基、羥基、N-乙酰氨基形成的氫鍵,形成了甲殼素和殼聚糖大分子的二級結構。殼聚糖的氨基葡萄糖殘基的椅式結構中有2種分子內氫鍵,一種殼聚糖分子間氫鍵是C3-OH與相鄰的另一條殼聚糖分子鏈上的糖苷基形成的,另一種分子間氫鍵是氨基葡萄糖殘基的C3-OH與相鄰殼聚糖呋喃環上的氧原子形成的。甲殼素和殼聚糖的C3-OH、C2-NH2、C6-OH等官能團均可形成分子內和分子間氫鍵。

相關產品:
殼聚糖-NH2 氨基修飾殼聚糖Chitosan
殼聚糖-COOH 羧酸功能化殼聚糖Chitosan
殼聚糖-MAL 馬來酰亞胺改性殼聚糖Chitosan
殼聚糖-NHS N-羥基琥珀酰亞胺偶聯殼聚糖Chitosan
殼聚糖-N3 疊氮修飾殼聚糖Chitosan
殼聚糖-Alkyne 炔基功能化殼聚糖Chitosan
殼聚糖-SH 巰基改性殼聚糖Chitosan
殼聚糖-Biotin 生物素修飾殼聚糖Chitosan
殼聚糖-CHO 醛基修飾殼聚糖Chitosan
殼聚糖-OPSS 巰基吡啶功能化殼聚糖Chitosan
以上資料來自齊岳生物小編axc,2022.11.08
以上文中提到的產品僅用于科研,不能用于人體。
聯系我們:
郵箱:2519696869@qq.com
QQ: 2519696869
電話:18066853083
微信:18066853083
公司介紹:
西安齊岳生物科技有限公司是集化學科研和定制與一體的高科技化學公司。業務范圍包括化學試劑和產品的研發、生產、銷售等。涉及產品為通用試劑的分銷、非通用試劑的定制與研發,涵蓋生物科技、化學品、中間體和化工材料等領域。
主營產品:COF、MOF單體系列:三蝶烯衍生物、金剛烷衍生物、四苯甲烷衍生物、peg、上轉換、石墨烯、光電材料、點擊化學、凝集素、載玻片、蛋白質交聯劑、脂質體、蛋白、多肽、氨基酸、糖化學等。


