葡萄糖-紫杉醇 Glucose-Paclitaxel
產品名稱:葡萄糖-紫杉醇 Glucose-Paclitaxel
產品描述:
葡萄糖-紫杉醇 Glucose-Paclitaxel
中文名稱:葡萄糖-紫杉醇
英文名稱:Glucose-Paclitaxel
別稱:紫杉醇修飾葡萄糖,PTX-葡萄糖
西安齊岳生物還可以提供PEG接枝修飾葡萄糖,葡萄糖-聚乙二醇-紫杉醇,Paclitaxel-PEG-Glucose,紫杉醇-PEG-葡萄糖
純度:95%+
存儲條件:-20°C,避光,避濕
外觀:固體或粘性液體,取決于分子量
PEG分子量可選:350、550、750、1k、2k、34k、5k
包裝:瓶裝/袋裝
溶解性:溶于大部分有機溶劑,如:DCM、DMF、DMSO、THF等等。在水中有很好的溶解性
注意事項:取用一定要干燥,避免頻繁的溶解和凍干
地址:西安
廠家:西安齊岳生物
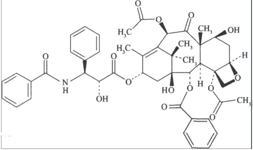
紫衫醇分子式為C47H51NO14,相對分子質量853.91。紫杉醇為白色結晶性粉末,無臭,無味,難溶于水,易溶于甲醇、乙腈、氯仿、丙酮等有機溶劑
紫杉醇的結構式
相關產品目錄:
甘露糖-生物素
甘露糖-醛基
甘露糖-巰基吡啶
甘露糖-羥基
甘露糖-酰基
甘露糖-硅烷
甘露糖-丙烯酸酯
甘露糖-硫辛酸
甘露糖-甲苯磺酸酯
甘露糖-氨甲基
甘露糖-硝基苯碳酸鹽
甘露糖-環氧化物
甘露糖-纈草酸
甘露糖-丙烯酰胺
甘露糖-溴化物
甘露糖-乙烯砜
甘露糖-甲基丙烯酸酯
甘露糖-碘乙酸鹽
廠家:西安齊岳生物科技有限公司
以上資料來自小編axc,2022.11.28
以上文中提到的產品僅用于科研,不能用于人體。
聯系我們:
郵箱:2519696869@qq.com
QQ: 2519696869
電話:18066853083
微信:18066853083

公司介紹:
西安齊岳生物科技有限公司是集化學科研和定制與一體的高科技化學公司。業務范圍包括化學試劑和產品的研發、生產、銷售等。涉及產品為通用試劑的分銷、非通用試劑的定制與研發,涵蓋生物科技、化學品、中間體和化工材料等領域。
主營產品:COF、MOF單體系列:三蝶烯衍生物、金剛烷衍生物、四苯甲烷衍生物、peg、上轉換、石墨烯、光電材料、點擊化學、凝集素、載玻片、蛋白質交聯劑、脂質體、蛋白、多肽、氨基酸、糖化學等。