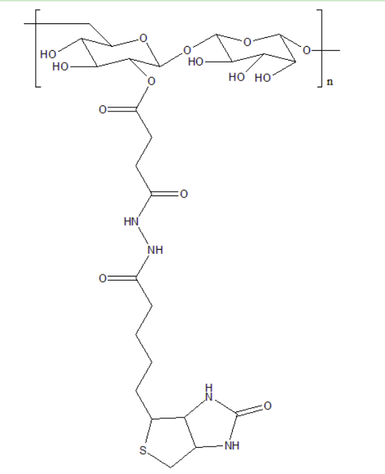
葡聚糖-生物素|Dextran-Biotin|生物素修飾標記葡聚糖的結構式
產品名稱:葡聚糖-生物素|Dextran-Biotin|生物素修飾標記葡聚糖的結構式
產品描述:
產品名稱:葡聚糖-生物素
英文名稱:Dextran-Biotin
別稱:生物素修飾的葡聚糖,Biotin-葡聚糖
純度:95%+
存儲條件:-20°C,避光,避濕
外觀狀態:白色粉末
包裝:瓶裝/袋裝
溶解性:溶于大部分有機溶劑,如:DCM、DMF、DMSO、THF等等。在水中有很好的溶解性
注意事項:取用一定要干燥,避免頻繁的溶解和凍干
用途:僅供科研實驗使用,不用于診治
地址:西安
廠家:西安齊岳生物科技有限公司
結構式:
西安齊岳生物供應BSA、PLGA、PCL、 PLA、Chitosan、 HRP、量子點QDs、Concanavalin A、DSPE-PEG-HA透明質酸、納米金、Sepharose 4B、PAMAM-PEG、PAA、Ubiquitin、Albumin、PEG、PEI、PNIPAM、Dopamine、磷脂、Cisplatin順鉑、阿霉素 紫杉醇、Folate-PEG、RGD多肽、Biotin生物素 、HAS修飾/標記/改性糖
聯系我們:
郵箱:2519696869@qq.com
QQ: 2519696869
電話:18066853083
微信:18066853083

公司介紹:
西安齊岳生物科技有限公司是集化學科研和定制與一體的高科技化學公司。業務范圍包括化學試劑和產品的研發、生產、銷售等。涉及產品為通用試劑的分銷、非通用試劑的定制與研發,涵蓋生物科技、化學品、中間體和化工材料等領域。
主營產品:COF、MOF單體系列:三蝶烯衍生物、金剛烷衍生物、四苯甲烷衍生物、peg、上轉換、石墨烯、光電材料、點擊化學、凝集素、載玻片、蛋白質交聯劑、脂質體、蛋白、多肽、氨基酸、糖化學等。